東大塾長の山田です。
このページでは、「対称式の基本」と、「2文字の対称式」・「対称式の分数の問題」・「3文字の対称式」の問題全パターンを、すべて解説していきます。
このページにある内容をおさえれば、対称式のどんな問題がきても無敵になれます!
最後までしっかり読んで、「対称式」をマスターしてください!
1. 対称式・基本対称式とは?
まずは、「対称式・基本対称式とは何か?」について解説します。
1.1 対称式とは?
対称式とは、「文字を入れ替えても全く同じ式になる式のこと」です。
例えば、「\( x+y \)」の\( x \)と\( y \)を入れ替えたら、「\( y+x \)」となります。
これは、元の式「\( x+y \)」と同じです。
したがって、「\( x+y \)」は対称式です。
- \( x+y \)
- \( xy \)
- \( x^2+y^2 \)
- \( x^3+y^3 \)
- \( x^2+xy+y^2 \)
- \( x^3-x^{2}y-xy^2+y^3 \)
- \( \displaystyle \frac{1}{x}+\frac{1}{y} \)
e.t.c…
- \( x+y+z \)
- \( xy+yz+zx \)
- \( xyz \)
- \( \displaystyle \frac{1}{x}+\frac{1}{y}+\frac{1}{z} \)
- \( x^2+y^2+z^2 \)
- \( x^3+y^3+z^3-3xyz \)
e.t.c…
文字を入れ替えると、元の式の-1倍になる式を交代式といいます。
【例】
- \( 「x-y」 → 「y-x」\)
(-1倍になっている) - \( 「x^2-y^2」 → 「y^2-x^2」\)
(-1倍になっている)
1.2 基本対称式とは?
基本対称式とは、特別な対称式のことを指します。
具体的には、次の通りです。
- \( \large{ x+y } \)
- \( \large{ xy } \)
- \( \large{ x+y+z } \)
- \( \large{ xy+yz+zx } \)
- \( \large{ xyz } \)
なぜ、これらの式を「基本対称式」というのかというと、すべての対称式のもととなる式だからです。
詳しくは次に続きます。
1.3 対称式の変形公式
すべての対称式は、基本対称式で表すことができるのです。
これ、超重要です。
例えば、\( x^2+y^2 \)は
\( (x+y)^2 = x^2+2xy+y^2 \)より、
\[ x^2+y^2 = (x+y)^2-2xy (-2xyを移行) \]
のように、基本対称式「\( x+y\)」,「\( xy \)」だけを使った式で表すことができます。
他にも、\( x^3+y^3 \)は
\( (x+y)^3 = x^3+3x^{2}y+3xy^2+y^3 \)より、
\[ \begin{align}
x^3+y^3 & = (x+y)^3-3x^{2}y-3xy^2 \\
\\
& = (x+y)^3-3xy(x+y)
\end{align} \]
となり、基本対称式\( x+y,\ xy \)で表すことができます。
代表的な対称式の変形公式をまとめておくので、これらは必ず覚えておきましょう。
- \( x^2+y^2 = (x+y)^2-2xy \)
- \( x^3+y^3 = (x+y)^3-3xy(x+y) \)
- \( x^2+y^2+z^2 \\ = (x+y+z)^2-2(xy+yz+zx) \)
- \( x^3+y^3+z^3 \\ = (x+y+z)(x^2+y^2+z^2-xy-yz-zx)+3xyz \)
※画面から切れちゃっている場合は、横スクロールして見てみて下さい。
2. \( x^n+y^n \)の値を求める問題
それでは、対称式を使った問題に入っていきましょう。
2.1 【例題1-(1)】\( x+y,xy \)
\( x+y, \ xy \)の値を求めよ。
(1)はただの計算問題なので、サクッといきます。
\[ \small{ \begin{align}
x+y & = \frac{\sqrt{3}+1}{\sqrt{3}-1} + \frac{\sqrt{3}-1}{\sqrt{3}+1} \\
\\
& = \frac{(\sqrt{3}+1)^2+(\sqrt{3}-1)^2}{(\sqrt{3}-1)(\sqrt{3}+1)} (←通分) \\
\\
& = \frac{(3+2\sqrt{3}+1)+(3-2\sqrt{3}+1)}{3-1} \\
\\
& = \frac{8}{2} \\
\\
& = 4
\end{align} } \]
別解として、先に\( x,y \)をそれぞれ分母を有理化してから、\( x+y \)を計算することもできます。
有理化のやり方がわからない方は、コチラの記事を参考にしてください。
\[ \small{ \begin{align}
x & = \frac{\sqrt{3}+1}{\sqrt{3}-1} = \frac{\sqrt{3}+1}{\sqrt{3}-1} \times \frac{\sqrt{3}+1}{\sqrt{3}+1} \\
\\
& = \frac{(\sqrt{3}+1)^2}{(\sqrt{3}-1)(\sqrt{3}+1)} \\
\\
& = \frac{3+2\sqrt{3}+1}{3-1} = \frac{4+2\sqrt{3}}{2} \\
\\
& = 2+\sqrt{3} \cdots ①
\end{align} } \]
\[ \small{ \begin{align}
y & = \frac{\sqrt{3}-1}{\sqrt{3}+1} = \frac{\sqrt{3}-1}{\sqrt{3}+1} \times \frac{\sqrt{3}-1}{\sqrt{3}-1} \\
\\
& = \frac{(\sqrt{3}-1)^2}{(\sqrt{3}+1)(\sqrt{3}-1)} \\
\\
& = \frac{3-2\sqrt{3}+1}{3-1} = \frac{4-2\sqrt{3}}{2} \\
\\
& = 2-\sqrt{3} \cdots ②
\end{align} } \]
①,②より、
\[ x+y = (2+\sqrt{3})+(2-\sqrt{3}) = 4 \]
\( xy \)の値も求めていきます。
\[ \begin{align}
xy & = \frac{\sqrt{3}+1}{\sqrt{3}-1} \cdot \frac{\sqrt{3}-1}{\sqrt{3}+1} \\
\\
& = \frac{(\sqrt{3}+1)(\sqrt{3}-1)}{(\sqrt{3}-1)(\sqrt{3}+1)} \\
\\
& = \frac{3-1}{3-1} \\
\\
& = 1
\end{align} \]
2.2 【例題1-(2)】\( x^2+y^2 \)
\( x^2+y^2 \)の値を求めよ。
この問題は、公式を使って解いてしまいましょう。
\[ \large{ x^2+y^2 = (x+y)^2-2xy } \]
この変形は超重要なので、導き方も含めて必ず覚えてください。
例題1-(1)で求めた基本対称式\( x+y, \ xy \)の値を使って解きます。
\[ \begin{align}
x^2+y^2 & = (x+y)^2-2xy \\
\\
& = 4^2-2 \cdot 1 \\
\\
& = 16-2 \\
\\
& = 14
\end{align} \]
2.3 【例題1-(3)】\( x^3+y^3 \)
\( x^3+y^3 \)の値を求めよ。
この問題も、公式を使って解いてしまいましょう。
\[ \large{ x^3+y^3 = (x+y)^3-3xy(x+y) } \]
この変形は超重要なので、導き方も含めて必ず覚えてください。
\[ \begin{align}
x^3+y^3 & = (x+y)^3-3xy(x+y) \\
\\
& = 4^3-3 \cdot 1 \cdot 4 \\
\\
& = 64-12 \\
\\
& = 52
\end{align} \]
また、別解として、3次式の因数分解の公式を使って解くこともできます。
\[ \begin{align}
x^3+y^3 & = (x+y)(x^2-xy+y^2) \\
\\
& = 4 \cdot (14-1) \\
\\
& = 4 \cdot 13 \\
\\
& = 52
\end{align} \]
2.4 【例題1-(4)】\( x^4+y^4 \)
\( x^4+y^4 \)の値を求めよ。
4乗の式は、次のように式変形をします。
\( (x^2+y^2)^2 = x^4+2x^2y^2+y^4 \)より、
\[ \begin{align}
x^4+y^4 & = (x^2+y^2)^2-2x^2y^2 \\
\\
& = (x^2+y^2)^2-2(xy)^2
\end{align} \]
(1),(2)の結果より,
\[ \begin{align}
x^4+y^4 & = 14^2-2 \cdot 1^2 \\
\\
& = 196-2 \\
\\
& = 194
\end{align} \]
2.5 【例題1-(5)】\( x^5+y^5 \)
\( x^5+y^5 \)の値を求めよ。
5乗の式は、次のように式変形をします。
\[ \begin{align}
& (x^2+y^2)(x^3+y^3) \\
\\
= & x^5+x^2y^3+x^3y^2+y^5
\end{align} \]
より、
\[ \begin{align}
& x^5+y^5 \\
\\
= & (x^2+y^2)(x^3+y^3)-x^2y^3-x^3y^2 \\
\\
= & (x^2+y^2)(x^3+y^3)-(x+y)(xy)^2
\end{align} \]
(1)~(3)の結果より,
\[ \begin{align}
x^5+y^5 & = 14 \cdot 52-4 \cdot 1^2 \\
\\
& = 728-4 \\
\\
& = 724
\end{align} \]
また、別解として、次のような式変形も可能です。
\( (x+y)(x^4+y^4) = x^5+xy^4+x^4y+y^5 \)より、
\[ \begin{align}
& x^5+y^5 \\
\\
= & (x+y)(x^4+y^4)-xy^4-x^4y \\
\\
= & (x+y)(x^4+y^4)-xy(x^3+y^3) \\
\end{align} \]
(1),(3),(4)の結果より、
\[ \begin{align}
x^5+y^5 & = 4 \cdot 194-1 \cdot 52 \\
\\
& = 776-52 \\
\\
& = 724
\end{align} \]
3. \( x^n+\frac{1}{x^n} \)の値を求める問題
次は、分数の形の問題です。
これも入試では頻出問題なので、必ずマスターしておきましょう。
今回のように分数の形の問題も、
\[ \small{ \begin{align}
& \frac{1}{x}=yとおくと、 \\
\\
& \ \ x^2+\frac{1}{x^2} = x^2+y^2 , \ x^3+\frac{1}{x^3} = x^3+y^3
\end{align} } \]
のように、対称式として考えることができます。
よって、例題1のように、
\[ \begin{align}
x^2+\frac{1}{x^2} & = x^2+\left( \frac{1}{x} \right)^2 \\
\\
& = \left( x+\frac{1}{x} \right)^2-2 \cdot x \cdot \frac{1}{x} \\
\\
& = \left( x+\frac{1}{x} \right)^2-2
\end{align} \]
と変形することができます。
これを踏まえて、問題を解いていきましょう。
3.1 【例題2-(1)】\( x^2+\frac{1}{x^2} \)
\[ x^2+\frac{1}{x^2} の値を求めよ。\]
この問題は、上で例で挙げた通りですね。
\[ \begin{align}
x^2+\frac{1}{x^2} & = \left( x+\frac{1}{x} \right)^2-2 \cdot x \cdot \frac{1}{x} \\
\\
& = (\sqrt{7})^2-2 \\
\\
& = 7-2 \\
\\
& = 5
\end{align} \]
3.2 【例題2-(2)】\( x^3+\frac{1}{x^3} \)
\[ x^3+\frac{1}{x^3} の値を求めよ。\]
3乗の式は、例題1-(3)同様、2通りの式変形で解くことができます。
2通りとも示しておきます。
\( x^3+y^3 = (x+y)^3-3xy(x+y) \)より、
\[ \begin{align}
& x^3+\frac{1}{x^3} \\
\\
= & \left( x+\frac{1}{x} \right)^3-3 \cdot x \cdot \frac{1}{x} \left( x+\frac{1}{x} \right) \\
\\
= & (\sqrt{7})^3-3 \cdot \sqrt{7} \\
\\
= & 7\sqrt{7}-3\sqrt{7} \\
\end{align} \]
\( x^3+y^3 = (x+y)(x^2-xy+y^2) \)より、
\[ \begin{align}
& x^3+\frac{1}{x^3} \\
\\
= & \left( x+\frac{1}{x} \right) \left( x^2-x \cdot \frac{1}{x} +\frac{1}{x^2} \right)
\end{align} \]
(1)の結果より,
\[ \begin{align}
x^3+\frac{1}{x^3} & = \sqrt{7} \cdot (5-1) \\
\\
& = \sqrt{7} \cdot 4 \\
\\
& = 4\sqrt{7}
\end{align} \]
3.3 【例題2-(3)】\( x^4+\frac{1}{x^4} \)
\[ x^4+\frac{1}{x^4} の値を求めよ。\]
4乗の式は、例題1-(4)同様の式変形で解くことができます。
\( x^4+y^4 = (x^2+y^2)^2-2x^2y^2 \)より、
\[ \begin{align}
x^4+\frac{1}{x^4} & = \left( x^2+\frac{1}{x^2} \right)^2-2x^2 \cdot \frac{1}{x^2}
\end{align} \]
(1)の結果より,
\[ \begin{align}
x^4+\frac{1}{x^4} & = 5^2-2 \\
\\
& = 25-2 \\
\\
& = 23
\end{align} \]
3.4 【例題2-(4)】\( x^5+\frac{1}{x^5} \)
\[ x^5+\frac{1}{x^5} の値を求めよ。\]
5乗の式は、例題1-(5)同様、2通りの式変形で解くことができます。
2通りとも示しておきます。
\[ \begin{align}
& x^5+y^5 \\
\\
= & (x^2+y^2)(x^3+y^3)-x^2y^3-x^3y^2
\end{align} \]
より、
\[ \small{ \begin{align}
& x^5+y^5 \\
\\
= & \left( x^2+\frac{1}{x^2} \right) \left( x^3+\frac{1}{x^3} \right) – x^2 \cdot \frac{1}{x^3} – x^3 \cdot \frac{1}{x^2} \\
\\
= & \left( x^2+\frac{1}{x^2} \right) \left( x^3+\frac{1}{x^3} \right) – \left( x+\frac{1}{x} \right)
\end{align} } \]
(1),(2)の結果より,
\[ \begin{align}
x^5+y^5 & = 5 \cdot 4\sqrt{7} – \sqrt{7} \\
\\
& = 20\sqrt{7}-\sqrt{7} \\
\\
& = 19\sqrt{7}
\end{align} \]
\( x^5+y^5 = (x+y)(x^4+y^4)-xy^4-x^4y \)より、
\[ \small{ \begin{align}
& x^5+y^5 \\
\\
= & \left( x+\frac{1}{x} \right) \left( x^4 + \frac{1}{x^4} \right) – x \cdot \frac{1}{x^4} – x^4 \cdot \frac{1}{x} \\
\\
= & \left( x+\frac{1}{x} \right) \left( x^4 + \frac{1}{x^4} \right) – \left( x^3 + \frac{1}{x^3} \right)
\end{align} } \]
(2),(3)の結果より,
\[ \begin{align}
x^5+y^5 & = \sqrt{7} \cdot 23 – 4\sqrt{7} \\
\\
& = 23\sqrt{7} – 4\sqrt{7} \\
\\
& = 19\sqrt{7}
\end{align} \]
4. 3変数の対称式の問題
最後は、3変数の対称式の問題です。
- \( x^2+y^2+z^2 \\ = (x+y+z)^2-2(xy+yz+zx) \)
- \( x^3+y^3+z^3 \\ = (x+y+z)(x^2+y^2+z^2-xy-yz-zx)+3xyz \)
※画面から切れちゃっている場合は、横スクロールして見てみて下さい。
繰り返しになりますが、この2つの変形式は超重要ですので、覚えちゃってくださいね。
それでは、やっていきましょう。
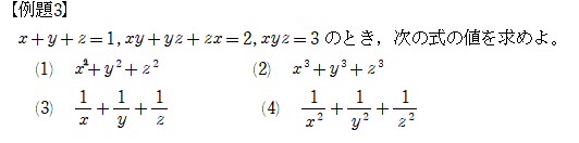
4.1 【例題3-(1)】\( x^2+y^2+z^2 \)
\( x^2+y^2+z^2 \)の値を求めよ。
この問題は、先ほどの重要公式通りですが、導き方も理解しておきましょう。
\[ \begin{align}
& (x+y+z)^2 \\
= & x^2+y^2+z^2+2(xy+yz+zx) \\
\\
\Leftrightarrow \ & x^2+y^2+z^2 \\
= & (x+y+z)^2 – 2(xy+yz+zx)
\end{align} \]
この式変形を使って解いていきます。
\[ \begin{align}
& x^2+y^2+z^2 \\
\\
= & (x+y+z)^2 – 2(xy+yz+zx) \\
\\
= & 1^2 – 2 \cdot 2 \\
\\
= & 1-4 \\
\\
= & -3
\end{align} \]
4.2 【例題3-(2)】\( x^3+y^3+z^3 \)
\( x^3+y^3+z^3 \)の値を求めよ。
この問題は、公式を使って解いてしまいましょう。
\[ \begin{align}
& x^3+y^3+z^3 \\
\\
= & (x+y+z)(x^2+y^2+z^2-xy-yz-zx) +3xyz
\end{align} \]
が成り立つから,(1)の結果より,
\[ \begin{align}
x^3+y^3+z^3 & = 1 \cdot (-3-2)+3 \cdot 3 \\
\\
& = -5+9 \\
\\
& = 4
\end{align} \]
4.3 【例題3-(3)】\( \frac{1}{x}+\frac{1}{y}+\frac{1}{z} \)
\[ \frac{1}{x}+\frac{1}{y}+\frac{1}{z} の値を求めよ。\]
次は分数の形の問題です。
分母が異なる分数の加減の問題は、通分して分母をそろえてから計算をします。
この問題では、各項の分母をすべて「\( xyz \)」にします。
\[ \begin{align}
& \frac{1}{x}+\frac{1}{y}+\frac{1}{z} \\
\\
= & \frac{yz}{x \cdot yz}+\frac{zx}{y \cdot zx}+\frac{xy}{z \cdot xy} \\
\\
= & \frac{yz+zx+xy}{xyz} \\
\\
= & \frac{2}{3}
\end{align} \]
4.4 【例題3-(4)】\( \frac{1}{x^2}+\frac{1}{y^2}+\frac{1}{z^2} \)
\[ \frac{1}{x^2}+\frac{1}{y^2}+\frac{1}{z^2} の値を求めよ。\]
(4)は、(1)を分数にしただけのものなので、式変形は同様ですね。
\[ \small{ \begin{align}
& \frac{1}{x^2}+\frac{1}{y^2}+\frac{1}{z^2} \\
\\
= & \left( \frac{1}{x}+\frac{1}{y}+\frac{1}{z} \right)^2 -2 \left( \frac{1}{xy}+\frac{1}{yz}+\frac{1}{zx} \right) \\
\\
= & \left( \frac{1}{x}+\frac{1}{y}+\frac{1}{z} \right)^2 -2 \left( \frac{z}{xy \cdot z}+\frac{x}{yz \cdot x}+\frac{y}{zx \cdot y} \right) \\
\\
= & \left( \frac{1}{x}+\frac{1}{y}+\frac{1}{z} \right)^2 -2 \left( \frac{z+x+y}{xyz} \right)
\end{align} } \]
(3)の結果より,
\[ \begin{align}
\frac{1}{x^2}+\frac{1}{y^2}+\frac{1}{z^2} & = \left( \frac{2}{3} \right)^2 -2 \cdot \frac{1}{3} \\
\\
& = \frac{4}{9}-\frac{2}{3} \\
\\
& = – \frac{2}{9}
\end{align} \]
5. 対称式の重要事項まとめ
さいごに、もう一度対称式の重要事項をまとめておきます。
すべての対称式は、基本対称式で表すことができる!
- \( x^2+y^2 = (x+y)^2-2xy \)
- \( x^3+y^3 = (x+y)^3-3xy(x+y) \)
- \( x^2+y^2+z^2 \\ = (x+y+z)^2-2(xy+yz+zx) \)
- \( x^3+y^3+z^3 \\ = (x+y+z)(x^2+y^2+z^2-xy-yz-zx)+3xyz \)
※画面から切れちゃっている場合は、横スクロールして見てみて下さい。
以上が、対称式のすべてです。
今回は、基本から応用まで、たくさんの例題を解説しました。
どれも入試では頻出の超重要問題ですので、必ずマスターしておきましょう!



















例題3(1)の画像のx^2がxになっています
対称式の基本で途中
x^3+y^3+z^3=(x+y+z)(x^2+y^2+z^2-xy-yz+zx)-3xyz
とあるのに…最後のまとめで
x^3+y^3+z^3=(x+y+z)(x^2+y^2+z^2-xy-yz+zx)
となっています。